欢迎访问太原理工大学体育与健康工程学院!

学术成果

首页 » 学科建设 » 学术成果 » 正文

张美珍教授团队研究成果在《sensors》发表

发布时间:2024-12-06作者:张美珍 吉丽慧浏览量:

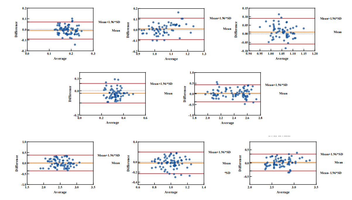
我院教师张美珍教授团队的研究成果《Novel Cost-Effective and Portable Three-Dimensional Force Measurement System for Biomechanical Analysis: A Reliability and Validity Study》在《sensors》发表。《sensors》是由瑞士开放获取出版社MDPI创办的国际性、同行评审的在线期刊,专注于传感器及其应用领域的研究。该期刊涵盖物理传感器人工智能与模式识别等多个交叉学科方向。主要发表传感器及其应用的科学和技术领域原创研究论文、综合评论等。该期刊被SCIE(Science Citation Index Expanded)收录,被评定为“JCR-Q2,中科院3区,影响因子3.4(2023年)”期刊。该论文是我院硕士研究生郝乐天、尹超(共同第一作者)在导师张美珍教授(通讯作者)指导下的研究成果,太原理工大学体育与健康工程学院为第一署名单位。

本研究旨在验证Kunwei三维测力台的可靠性与有效性。通过对15名男性大学生执行步行、跑步、纵跳和侧切四种动作,采用t检验、ICC和NRMSE评估Kunwei与Bertec设备的性能一致性。结果表明,Kunwei系统在峰值力测量上与Bertec系统无显著差异,ICC值超过0.98,RMSE低于0.165,显示出其高精确性和一致性。综上所述,Kunwei系统是一种经济高效的替代方案,适用于运动训练、康复及临床诊断等领域。

该工作得到了三维测力系统研发及精度验证项目(RH2300004871)的资助。

作者简介

郝乐天:太原理工大学体育与健康工程学院硕士研究生,主要研究领域为运动生物力学。

尹 超:太原理工大学体育与健康工程学院硕士研究生,主要研究领域为运动生物力学。

段晓喆:太原理工大学体育与健康工程学院硕士研究生,主要研究领域为运动生物力学。

王泽宇:太原理工大学体育与健康工程学院硕士研究生,主要研究领域为运动生物力学。

张美珍:博士,太原理工大学体育与健康工程学院教授,硕士生导师,主要研究领域为运动生物力学和运动健康促进。


初审:吉丽慧

复审:王君洁

终审:张美珍